问题1440--括号树(brackets)(2019 CCF CSP-S2 day1)

1440: 括号树(brackets)(2019 CCF CSP-S2 day1)

时间限制: 1 Sec  内存限制: 256 MB
提交: 13  解决: 7
[提交] [状态] [讨论版] [命题人:]

题目描述

输入

 第一行一个整数n,表示树的大小。
第二行一个长为n的由’(’与’)’组成的括号串,第i个括号表示i号结点上的括号。第三行包含n−1个整数,第i(1≤i<n)个整数表示i+1号结点的父亲编号fi+1

输出

仅一行一个整数表示答案

样例输入 Copy

5
(()()
1 1 2 2

样例输出 Copy

6

提示


【样例1解释】
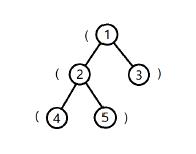
树的形态如下图:
 


将根到1号结点的简单路径上的括号,按经过顺序排列所组成的字符串为(,子串是合法括号串的个数为0。
将根到2号结点的简单路径上的括号,按经过顺序排列所组成的字符串为((,子串是合法括号串的个数为0。
将根到3号结点的简单路径上的括号,按经过顺序排列所组成的字符串为(),子串是合法括号串的个数为1。
将根到4号结点的简单路径上的括号,按经过顺序排列所组成的字符串为(((,子串是合法括号串的个数为0。
将根到5号结点的简单路径上的括号,按经过顺序排列所组成的字符串为((),子串是合法括号串的个数为1。 
【样例2】
见选手目录下的brackets/brackets2.in 与brackets/brackets2.ans。 
【样例3】
见选手目录下的brackets/brackets3.in 与brackets/brackets3.ans。 
【数据范围】 
测试点编号
n≤
特殊性质
1∼2
8
 
fi =i−1
3∼4
200
5∼7
2000
8∼10

11∼14
105
fi =i−1
15∼16

17∼20
5×105

 

来源/分类