Toggle navigation
NOI_KZOJ
常见问答
题库
来源/分类
状态
排名
竞赛&作业
Login
问题2039--医院设置(数据加强版)
2039: 医院设置(数据加强版)
时间限制:
1 Sec
内存限制:
128 MB
提交:
14
解决:
4
[
提交
] [
状态
] [
讨论版
] [命题人:
]
题目描述
一本通P425 例3.3 医院设置(数据加强版)
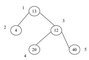
设有一棵二叉树,如图:
其中,圈中的数字表示结点中居民的人口。圈边上数字表示结点编号,现在要求在某个结点上建立一个医院,使所有居民所走的路程之和为最小,同时约定,相邻接点之间的距离为1。如上图中,若医院建在1 处,则距离和=4+12+2*20+2*40=136;若医院建在3 处,则距离和=4*2+13+20+40=81……
输入
输入文件名为hospital.in,其中第一行一个整数n,表示树的结点数。(n≤100000)
接下来的n行每行描述了一个结点的状况,包含三个整数,整数之间用空格(一个或多个)分隔,其中:第一个数为居民人口数(<=100);第二个数为左链接,为0表示无链接;第三个数为右链接,为0表示无链接。
输出
输出文件名为hospital.out,该文件只有一个整数,表示最小距离和。
样例输入
Copy
5 13 2 3 4 0 0 12 4 5 20 0 0 40 0 0
样例输出
Copy
81
提示
结点数n<=100000
每个结点居民数<=100000
来源/分类
基础算法