问题2069--查找文献

2069: 查找文献

时间限制: 1 Sec  内存限制: 128 MB
提交: 80  解决: 16
[提交] [状态] [讨论版] [命题人:]

题目描述

小K 喜欢翻看博客获取知识。每篇文章可能会有若干个(也有可能没有)参考文献的链接指向别的博客文章。小K 求知欲旺盛,如果他看了某篇文章,那么他一定会去看这篇文章的参考文献(如果他之前已经看过这篇参考文献的话就不用再看它了)。
假设博客里面一共有 n ( n ≤ 105 ) 篇文章(编号为 1 到 n)以及 m ( m ≤ 106 )条参考文献引用关系。目前小 K 已经打开了编号为 1 的一篇文章,请帮助小 K 设计一种方法,使小 K 可以不重复、不遗漏的看完所有他能看到的文章。
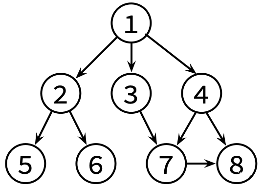
这边是已经整理好的参考文献关系图,其中,文献 X → Y 表示文章 X 有参考文献 Y。不保证编号为 1 的文章没有被其他文章引用,也不保证每一篇文章都会被引用。


请对这个图分别进行 DFS 和 BFS,并输出遍历结果。如果有很多篇文章可以参阅,请先看编号较小的那篇(因此你可能需要先排序)

输入

共 m + 1行,第 1 行为 2 个正整数 n 和 m,分别表示一共有 n ( n ≤ 105 ) 篇文章(编号为 1 到 n)以及m ( m ≤ 106 ) 条参考文献引用关系。
接下来 m行,每行有两个整数 X , Y(1XY≤n)表示文章 X 有参考文献 Y。

输出

共 2 行。
第一行为 DFS 遍历结果,第二行为 BFS 遍历结果。

样例输入 Copy

8 9
1 2
1 3
1 4
2 5
2 6
3 7
4 7
4 8
7 8

样例输出 Copy

1 2 5 6 3 7 8 4 
1 2 3 4 5 6 7 8