Toggle navigation
NOI_KZOJ
常见问答
题库
来源/分类
状态
排名
竞赛&作业
Login
问题2086--求Fn的值
2086: 求Fn的值
时间限制:
1 Sec
内存限制:
128 MB
提交:
24
解决:
14
[
提交
] [
状态
] [
讨论版
] [命题人:
]
题目描述
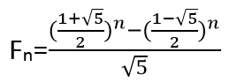
已知
,求Fn的值
输入
一行一个自然数 n(0<n≤70)。
输出
一行一个正整数Fn
样例输入
Copy
6
样例输出
Copy
8
来源/分类
数学基础
递推算法