Toggle navigation
NOI_KZOJ
常见问答
题库
来源/分类
状态
排名
竞赛&作业
Login
问题2152--打印文章(HDU3507)
2152: 打印文章(HDU3507)
时间限制:
1 Sec
内存限制:
128 MB
提交:
2
解决:
2
[
提交
] [
状态
] [
讨论版
] [命题人:
]
题目描述
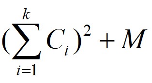
小明要打印一篇有N 个单词的文章。每
个单词i 都有一个打印成k 本Ci 。在一行中打印k 个单词要花费的成本为
,其中M 是常量。他想知道打印文章的最小成本。
输入
输入包含多个测试用例。每个测试用例的第1行都包含两
个数字N 和M (0≤N ≤500000,0≤M ≤1000)。在接下来的2~N +1
行中有N 个数字,表示N 个单词的打印成本。
输出
单行输出打印文章的最小成本。
样例输入
Copy
5 5 5 9 5 7 5
样例输出
Copy
230
来源/分类
动态规划算法
单调队列
斜率优化